阳澄湖大闸蟹官网 | 核心产区直供 · 官方防伪验证 · 冷链直达全国!
登录 | 注册 | 购物车 | 在线提货
当前位置:首页 >>> 行业动态 >>> 流言揭秘:柿子与大闸蟹一起吃容易胃结石吗?

浏览历史

流言揭秘:柿子与大闸蟹一起吃容易胃结石吗?



作者:admin发布时间:2015-10-17
  深秋的这样一个季节,柿子红了,大闸蟹也上市了。于是很多人就把这两者一起吃了,然而——微信上有人说,这并不十分科学,因为柿子与大闸蟹一起吃容易胃结石!
 
  这是真的吗?
 
  蝌蚪君曾经给大家整理过一篇关于吃大闸蟹的各种禁忌的文章。阳澄湖大闸蟹的一个特点是蟹肉富含蛋白质。那么现在我们再来了解一下柿子有什么特点。
 
  生柿子为什么吃起来那么涩?
 
  要了解柿子的特点,我们可以回忆一下吃生柿子时候的那种大舌头的感觉。
 
流言揭秘:柿子与大闸蟹一起吃容易胃结石吗?
 
  当食用生柿子时,我们会觉得很涩——俗话说就是觉得“舌头变大了”。这是因为柿子里有单宁,单宁能与唾液中的蛋白质,尤其是活性较强的酶结合,使酶失去活性而变成沉淀,导致唾液失去对口腔的润滑作用,同时引起舌部上皮组织产生涩感(有些葡萄酒喝起来也很涩,也是因为含有单宁哦) 。
 
  显然,生的柿子里有很多单宁——也叫鞣酸。
 
  那么到底什么是单宁呢?
 
  单宁分子是个啥
 
  单宁是为分子量在500-3000之间、能沉淀蛋白质的水溶性酚类化合物。植物单宁属于多酚类化合物。
 
  什么叫酚?
 
  酚是一种有机物,一般就是在化学结构上存在一个苯环(就是一个正六边形),苯环上连有一个羟基(-OH)的这种物质。
 
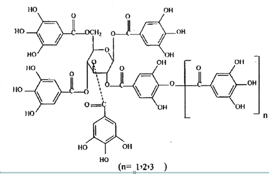
  多酚就是有很多这样的结构,如下就是一种单宁的化学结构式:
 
流言揭秘:柿子与大闸蟹一起吃容易胃结石吗?
 
  柿子成熟以后,单宁物质有所降低,但总体含量还是很高的,所以,它里面含有的单宁还是容易与蛋白质结合形成沉淀,这一点基本性质并没有改变。
 
  柿子与大闸蟹最好不要一起吃?
 
流言揭秘:柿子与大闸蟹一起吃容易胃结石吗?
 
  大闸蟹里富含有蛋白质,而柿子里富含有单宁,还记得我们前面说的“大舌头”的道理吗?
 
  柿子成熟以后,它里面的单宁物质有所减少,已经不会让我们觉得“大舌头”了,但是,当吃了柿子以后,我们还是吃进了很多单宁物质,它们就在人的胃里暂时停留——这个时候如果您正好又吃了高蛋白的大闸蟹。这些大闸蟹的蛋白质到了胃里就与柿子的单宁结合起来,形成了沉淀物质,这是可能引起胃结石的。
 
  所以,柿子与大闸蟹最好不要一起吃,如果您今天吃了柿子,那就明天吃大闸蟹吧。阳澄湖大闸蟹团购网转载。

用户评论(共0条评论)

  • 暂时还没有任何用户评论
总计 0 个记录,共 1 页。 第一页 上一页 下一页 最末页
用户名: 匿名用户
E-mail:
评价等级: 一颗星 两颗星 三颗星 四颗星 五颗星
评论内容:
验证码: 点击更换验证码